电子基础-DC-DC电源

2024-11-25

DC-DC简介

DC-DC是英语直流变直流的缩写。所以DC-DC电路是某直流电源转变为不同电压值的电路。DC-DC是开关电源技术的一个分支。这里说的DC-DC是指开关电源芯片。

开关电源,指利用电容、电感的储能的特性,通过可控开关(MOSFET等)进行高频开关的动作,将输入的电能储存在电容(感)里,当开关断开时,电能再释放给负载,提供能量。其输出的功率或电压的能力与占空比(由开关导通时间与整个开关的周期的比值)有关。

开关电源可以用于升压和降压。我们常用的DCDC产品有两种。一种为电容储能DC-DC,一种为电感储能DC-DC。主要讲电感储能DC-DC。

DC-DC的原理

①降压DC-DC: BUCK

BUCK型DC-DC主要用于降压,其原理如图1开关管Q1打开时,Vin通过L1给负载供电,L1中储藏电能,当Q1闭合时,当在L1内上会感应出反向的电动势,极性是左负右正,此时电感通过二极管D1给负载供电。输出的电压跟占空比D有关:Vout=Vin*D

 

该电路中由于频繁开关作用,所以要求二极管D1具有极高的回复速度,考虑到效率,该二极管还要具有低的正向导通电压,一般选用肖特基二极管。

同步整流技术

同步整流是采用动态电阻极低的专用功率MOSFET,来取代整流二极管以降低整流损耗的一项新技术。它能大大提高DC/DC变换器的效率。功率MOSFET属于电压控制型器件,它在导通时的伏安特性呈线性关系,其导通电阻极小。用功率MOSFET做整流器时,要求栅极电压必须与被整流电压的相位保持同步才能完成整流功能,故称之为同步整流。

 

同步整流示意图

②升压DC-DC:BOOST

BOOST型DC-DC主要用于升压电路,其原理如图2,当开关管Q1闭合时,二极管D1截止,电流流经电感L1和开关管Q1,此时电容Cout给负载供电当开关管Q1断开时,L1上产生反向的电动势,极性是左负右正,此时Vin和L1上的电动势看加通过二极

管给负载供电,同时给Cout充电。输出的电压同样跟占空比D有关:Vout=Vin/(1-D)

 

③BUCK/BOOST

BUCK/BOOST型DC-DC既可用于降压,也可用于升压,其原理如图3所示,该类型电压输出:

Vout=Vin*D/(1-D)

 

DC-DC与LDO的区别

1、两者的效率不同,DC-DC的效率一般要高于LDO,这是其工作原理决定的;

2、DC-DC有Boost、Buck、Boost/Buck,而LDO只有降压型,

3、DC-DC存在开关噪声和EMI问题,而LDO-般不会存在该问题,

4、LDO设计简单,只需一个输入和一个输出电容,外围元器件少,所占PCB的面积较小,而DCDC一般需要电感、二极管等,设计较复杂,所占PCB的面积较大;

5、DC-DC可以输出较大的电流,而LDO输出电流较小;

6、DC-DC比LDO要贵

DC-DC设计指导

*在设计电源模块的时候,第一时间要把该电源IC的datasheet资料下载好,查看里面的说明;

*下面以一款DC/DC转换IC为例;开始布局前先看下IC的特性说明,如图

4:注意其中关于输出电流值的说明,这里最大输出电流为1A,设计的时候过孔的数目是根据电流大小来决定的。

 

看下该IC的典型电路和管脚分配,如图5

 

图5左下角为分压电路计算公式,能很容易根据反馈电压计算出输出电压

然后看下datasheet中关于管脚的说明和注意要点,如图6:

 

>1pin为使能脚,

>2pin为地脚,

>3pin为电源输出脚,

>4pin为电源输入脚

>5pin为反馈脚,提供反馈电压

*最重要的一步,要仔细査看datasheet中是否提供了布局指导。Layout Guide为设计者提供一个参考布局,是经过官方验证过的。如图7

 

实际上,通过一些layout guide能总结出一些电源设计中需要注意的要点,如图8

 

图9中设计包含一下问题需要改善:

 

1.输入处电流过孔数目不够,且最好打在电容右侧;

2.反馈线太细,建议走15mil粗线,连到输出端最后一个电容,不要直接连在电感;

3.1脚为使能脚,不需要铺铜

4.0402小电容建议十字花连接

5.输入输出回路太大,可以改变布局让其共地,缩小环路面积,

*经过改善后的布局如下,图10

 

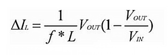
5.参数的选择

1、电感器的选择

随着开关的打开和闭合,升压电感器会经历电流纹波。一般建议纹波电流应低于平均电感电流的20%。电感过大将要求使用大得多的电感器,而电感太小将引起更大的开关电流,特别在输出电容器中,而这又要求更大的电容器。

电感值的选择取决于期望的纹波电流。如等式 1所示,较高的VIN或VOUT也会增加纹波电流。电感器当然必须能够在不造成磁芯饱和(意味着电感损失情况下处理峰值开关电流。

 

等式 1

由公式可以得出:

(1)开关频率越高,所需的电感值就可以减小;

(2) 电感值增大,可以降低纹波电流和磁芯磁滞损耗。但电感值的增大,电感尺寸也相应的增大电流变化速度也减慢。

为了避免电感饱和,电感的额定电流值应该是转换器最大输出电流值与电感纹波电流之和。如图11

 

2、输入电容的选择

因为 buck 有跳跃的输入电流,需要低 ESR 的输入电容,实现最好的输入电压滤波。输入电容值必须足够大,来稳定重负载时的输入电压。如果用陶瓷输出电容,电容 RMS 纹波电容范围应该满足应用需求。

陶瓷电容具有低 ESR 值,表现出良好的特性。并且与钽电容相比,陶瓷电容对瞬时电压不敏感。

3、输出电容的选择

输出电容器的有效串联电阻(ESR)和电感器值会直接影响输出纹波电压。利用电感器纹波电流((IL)和输出电容器的ESR可以简单地估测输出纹波电压,输出电压纹波是由输出电容的 ESR 引起的电压值,和由输出电容冲放电引起的电压纹波之和。

 


留言板

您好,欢迎访问泽芯微科技,我司主要客户行业有医疗,工业,通信和汽车, 出货靠前的品牌有:ST, TI,MICROCHIP, ADI,MAXIM 等,请问有什么可以帮到您? - 当然,也欢迎您直接拨打电话 13798286228 沟通咨询 -

提交